Her şey Google’ı, Google yapan ana algoritmanın yani “PageRank” algoritmasının icadı ile başladı.
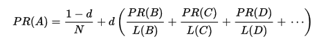
Bu algoritmanın temel iki değişkeni vardır. Web sayfasınıza gelen, yani sizin o sayfanıza linkli bağlantıların geldiği sayfanın değeri ( PageRank Değeri ) ve her sayfanıza verilen toplam link sayısı. Temel de tüm ana algoritma sayfanıza sitenize gelen linklerin bir bölme işleminde birleştirilmesinden ibaretti. Elbette bu denklem ve işlemi devam ettirme için kullanılan standart sapmayı sağlayan ve rastgelen sörfçü adı verilen yan değişkenler de var. Ancak tüm matematiksel karmaşanın ortasında asıl geriye kalan bir bölme işlemi olması şaşırtıcıdır.
Yani siteniz arama kelimelerinize göre eğer ilk sıralarda yer alıyor ise, daha başka bir çok kriterin önemini yok sayarsak, (Şu aralar öyle olmasa da)
Google ın ana algoritması PageRank algoritmasına göre,
- Ya PageRank değeri düşük bir çok site sizin sitenin sayfalarına link vermiştir.
- Ya da çok PageRank i yüksek bir iki kaliteli site sizin sitenizin sayfalarına link vermiştir.
Page Rank Algoritması
Bu algoritmanın ana çıkış noktası ise bilgisayarda çok daha temel bir konu olan bir network oluşturma algoritmaları idi. Yani Larry Page ve Sergey Brin okudukları dersleri çok iyi analiz eden iki bilgisayar mühendisi olarak bu yeni algoritmaya ulaşmışlardır.
Buldukları bu algoritma ile "Bilgi Erişim" ( Information Retrieval System IR) çalışmalarını da birleştirerek sayfalara bir değer verme işlemi yapmaları ise onları ünlü yapmıştır. Resmi olarak, Google sayfalara değer verildikten sonra bu sayfaların sıralandığı listenin adıdır. Liste SERP olarak ta tanımlanmaktadır.
Şimdi bu tarih bilgisine devam edelim ve sonuçlara bakalım;
- Algoritma başta çok verimli çalıştığı için ortalığı yıkıp geçti. Çok basitti, çok hızlı işlem yapılmasına imkan veriyordu. 1990 lı yıllardaki tüm diğer arama motoru algoritmalarından çok daha iyi idi.
- İnsanlar bir arama motorundan, 1 saniyenin altında bir süre de internetten hangi sorgu dizini için olursa olsun en ilgili cevapları vermesini beklerler. Temelde bir bölme işleminden oluşmasına rağmen işini yapan bu basit algoritma bu işi diğer algoritmalardan daha verimli yapmakta idi.
- Tekrar bir hayal edelim, interneti düşünün, isteği tekrar düşünün. O yüzden hangi algoritma olursa olsun. Mutlaka açıkları ve çok çok eksikleri olacaktı. PageRank algoritmasının açığı da manipüleye çok müsait olması idi.
- Ancak “PageRank” dünyayı fazla heyecanlandırmıştı. İnsanlar, akademisyenler bu algoritmanın sonuçları karşısında algoritmaya hayran kaldılar. 1 saniyeden kısa sürede internette aranılanı bulma problemi giderek çok daha büyük bir sorundu.
- Bu heyecan ile algoritmanın tüm yetersizlikleri bir kenara kondu. Milyarlarca dolarlık donanım ve insan iş gücü ile yeni algoritmalar ekleyerek bu algoritmayı geliştirmeye devam ettiler. Ama hep temel de Google ın kalbini bu algoritma oluşturmaya devam etti. Hala da ediyor.
- Algoritma işini iyi yapıyor. Fakat deney ortamı ile gerçek hayat farkı şu idi. Gerçek hayatta insanlar tahmin edilemez ve bilgisayarlardan, iki üç matematik algoritmasından yüzbinlerce kat zeki yaratıklardır.
- Bilgisayar mühendisleri, yazılımcılar hatta ilkokul öğrencileri dahi bu koskoca ve giderek büyüyen “internet bilgi evreninin de istediğinizi tam istediğiniz gibi bulacağını söyleyen bu algoritmanın” çıktığı seneden itibaren açıklarını ve manipüle yollarını aramaya başladılar.
- Ve çok çabuk buldular. Arama sıralamalarına istedikleri sonuçları kolay sayılacak şekilde dahil edebiliyorlardı.( Ki hala öyle ).Yani ilk SEO uzmanları da bu algoritmanın doğuşu ile ortaya çıkmış oldu.
- PageRank algoritmasını manipüle edilebilmesinin ana nedeni değişkenleridir. Bu algoritmaların kökeni bilgisayar network oluşturma algoritmalarına dayanıyordu. Gözden kaçan gerçek şudur. Bilgisayar networkleri kurulumunda hiçbir değişken dış müdahaleye açık değildir. Yani sistemi kuran mühendisler, kaç tane bilgisayar var, kaç bilgisayar birbirine bağlanacak, saniye de kaç KB veri geliyor tamamen bilir. Yani oluşan bağlantı haritasını her zaman bilir ve kontrol ederler. Ama bu algoritmaları alıp gerçek dünyaya yani insanların önüne atarsanız insanlar ilk olarak bu algoritmanın açıklarını aramaya başlarlar. Yani Google mühendislerinin karşısında cansız denileni yapan bilgisayarlar yoktu. Karmaşık ve şaşırtıcı insanlar vardı.
- Kurnaz olan web sitesi yapımcı ve sahipleri, algoritmanın kullandığı “graph” adı verilen bu bağlantı haritalarında daha fazla yer almak adına sürekli olarak başka sitelere sürekli yeni bağlantılar eklediler. Böylece web sayfasına gelen link sayısını manipüle etmeyle başladılar. Yani İngilizce herkesin bildiği ismi ile “backlink” havuzları yaratıyorlardı. Sonra bir çok kendi kurdukları site içinde sayfaları birbirlerine linklediler. Yani hem link paydası ile hem de gelen PR değeri payı ile bölme işlemini alt üst ettiler.
- Ama Google ın koruması gereken bir ünü vardı. Bu sefer bir web sayfasının toplam değer sonucun doğru çıkmasını kurtarmak adına PageRank algoritmasını destekleyecek ve koruyacak bir çok yeni kriter eklediler. Sonuç, PageRank algoritmasının toplam sonuca etkisini düşürmek oldu.
- En büyük mesele de bu noktadan sonra gözden kaçmaya başladı. Sıralamanın Doğruluğu.
- Eklenen kriterlerin de aynı PageRank algoritması gibi manipüleye imkan veren kendi açıkları vardı. Üstüne üstlük arama sıralamasını düzelteceği ve manipüleyi engellemek için eklendiği söylenen her kriter aslında arama sıralamasını manipüle eden ana neden olmaya başladı.
- Nasıl mı? Örneğin firmanız yeni kuruldu ama web sitesi yeni imkanlar ile yapıldığı için otomatik olarak yaklaşık 200 kriterden 50 sini yerine getiriyor. Diğer web sitesi çok ünlü bir kurumun sitesi dahi olsa web sitesi eski olduğundan 20 kriteri yerine getiriyor. Ve yeni kurduğunuz firma, aynı sektördeki 100 yıllık bir firmanın hiç bir şey yapmadan fersah fersah önünde yer alabiliyor???
- Ancak herhangi bir başka rakip yoktu. İster yanlış, ister eksik bu algoritma diğerlerinden hala iyi idi. İlerleyen günlerde de Google rakipsizliğinin avantajını kullanmaya karar verdi. Algoritmaları, işin büyüklüğü ve kontrol edilemezliği karşısında bilimin sınırlarına kadar gelmiş ve yetersiz kalsa da insanları çekmişti.Reklamlar ile arama sıralamasını değiştirmek için para almaya başladılar.
- O ana kadar kriterler ile arama sıraları zaten bir yarışmaya dönüşmüştü. Her web sitesi sahibi mecburen bu yarışa dahil oluyordu. Öyle ki bu yarış web sitesinin içeriğinden, kurumun kimliğinden bile daha değerli hale geliyordu. Web sitesi sahipleri sürekli değişebilen bu arama sıralarında ilk sırada yer almak için her şeyi göze almaya başladılar. Çünkü arama sıralarında ilk sayfada yer almak ticari hayatınızın patlama yapması demekti.
- Çok bilinen veya az bilinen SEO kriterleri de bugün 200 den fazla bir sayıya ulaşmıştır. Bu kriterleri yerine getirmek özellikle SEO ile ilgilenmeyen web sitesi tasarımcı ve yapımcılarının karşılayamadığı talepler zinciri olmuştur. Mecburen ilgili kriterleri yerine getirmenin zorluğu karşısında web sitesi yaptırmak isteyenleri paralı reklamlara yöneltmeye başladılar. Para karşılığında ilk sıraya sistemi de böylece giderek yayıldı.
- Google dışında ise bir başka pazarlama gelişmesi daha oldu. Google ın ana açığı olan backlink açığı da pazarlamaya dahil oldu. İlk sıra garantileri veren firmalar ortaya çıktı. Sitenizin linkini olur olmadık sitelere linkleyerek ana algoritmanın açığını kullanmaya başladılar.
- Bir kısım firmalar da sahte DNS ler üzerinden sitelere sahte hitler yaratarak piyasaya dahil oldu. Daha sonra Google bu firmaları fark edince bu iki yöntemi kullananlara önemli kısıtlamalar getirdi. Tamamen önlem de alamadı. Bunun nedeni ise neredeyse ilk sıralardaki bir çok web sitesi “backlink havuzları” sistemini kullanıyordu. Bunları tamamen engellemeye çalıştığında arama sıralamaları birbirine girdi. Bu oluşan karmaşayı düzeltmek bir yıl kadar sürdü.
- Şimdilerde ise Penguen ve Panda algoritmaları ismi verilen anlık olarak kontrol mekanizmaları ile daha dikkatli şekilde bu “backlink havuzu” metodu kullanan web sitelerini sıralamalardan uzaklaştırmaya çalışıyor.
- Ama öyle bir noktaya gelmiş durumdayız ki ülke olarak yine de milyonlarca doları Google reklamlarına ve etik olmayan SEO firmalarına harcıyoruz.
- Sonuçta bu sitenize ve kurumunuza en ufak bir yazılım dahi yapmadan sitenizi ilk sırada çıkaran firmaların, çoğu sahte ve tehlikeli vaatlerine bilmeden dört elle sarılıyoruz.
Peki Sonuç ve Çözüm Ne?
Sonuç; Google arama sıralamaları, ister 200 kriteri tam olarak yerine getirerek, ister etik olmayan arama motorunun sevmediği “backlink havuzları” ve sahte DNS lerden yaratılan sahte hitler ile manipüleye çok açıktır. Herkesin buna manipüle değil de SEO ismini vermiş olması gerçeği değiştirmemektedir. Temel de bu bir manipülasyondur.
Bizim dediğimiz ise madem bu manipüleyi yapacağız bunu Google ın onayladığı yöntemi kullanarak yapalım.
Hadi gelin Google reklamlarına ve ilk sıra garantisini etik ve legal olmayan yollarla size teklif eden SEO firmalarına ayırdığınız tonlarca paranın birazcık bir kısmı ile şu Google ın 200 kriterini yerine getirelim. Web sitenizi ve internet ile olan tüm geri kalan her şeyi mükemmelleştirelim.
Google insanların bu 200 kriterin hepsinin bilinmediğini ve insanların yerine getiremeyeceğine çok güvenmiş durumda.
Ama işin aslı öyle değil. Dünyanın uzak ucunda gerçekten Google kurallarını iyice öğrenmiş, işini yapan gerçek bilgisayar mühendisleri ve yazılımcılar çoktan bu kriterleri kılcal damarlarına kadar incelemiş durumdalar. Ve kullandıkları yöntemleri an ve an paylaşıyorlar.
Smartien olarak bilgimiz buradan gelmektedir.
Üstelik Google mühendislerinin belirlediği bu 200 kriter, web sitenizi ve işinizi mükemmelleştirme standartlardır. Ve göreceksiniz ki bu 200 kriteri yerine getirdikçe, aslında tüm web siteniz ve firmanızda da toplam kalite artmaya başlayacak.
Yani Türkiye’de SEO yapıyorum diyen herkesi küçük düşüren ve gizli kapaklı uygulanan, doğal olmayan linkler ile oluşturulan "“backlink havuzları” metodu ve DNS değiştirerek sitelere sahte hitler yaratılan metodlar gerçek SEO değildir.
Bu işlemler de işe yarasa da Google ın her an kılıcı ensenizde olacaktır. Bu firmalara güvenip bu işlemlere kalkışırsanız her an Google dan silinme tehlikesi ile de karşı karşıya kalacaksınız.
Üstelik verdiğiniz para ile karşılığında sıralama sonucu dışında ne kalacak? Sitenizde bir yenilik yapmıyorsanız, site hala kötü gözüküyorsa potansiyel bir müşteriyi nasıl site de tutacaksınız?
Peki sıralama için daima bu firmalara para vermek durumunda kalmanız da ayrı bir bağımlılık değil mi?
Bir firma sahibi iseniz, asıl amacınız sadece Google sıralamasında yükselmek değildir. Toplam kalitedir. Hem Google sıralamasında yükseleceksiniz, müşteri sizi bulacak, hem de o müşteri sizden etkilenip sizi tercih edecek. İşte asıl amacınız budur. Smartien’nin de asıl amacı budur.
Ve yine bu 200 kriteri yerine getirirseniz artık sadece Google sıralaması hedefiniz olmayacak. Tüm internet ve sosyal medya sizin oyun sahanız olacak.
O yüzden biz bu yanlış anlaşılmayı gidermek için SEO terimi yerine “NET Optimizasyonu” terimini kullanacağız.
Makale:
Net Danışmanı,
Emre Gökhan Vuran
